Swiss mathematician often considered one of the greatest m
athematicians of all time. He contributed to many areas of mathematics
including, but not limited to calculus, analysis, geometry, number
theory, graph theory and logic. Euler introduced the f(x) notation for
a function and the S notation for a summation. Many results bear his
name including Euler's formula v-e+f=2 for convex polyhedron, Euler's
formula for the complex exponential, e^ix=cos(x)+i sin(x), Euler
paths and circuits in graph theory, end even the number e is so
in honor of him. He discovered the series expansions for e^x and
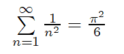
tan^(-1)(x)? and his use of power series enabled him to determine
that
.
Links to my other sites that connect Euler to
Currency
First Day Covers
| Stamp | Description |
|---|---|
![]() |
German Democratic Republic, 1 pf, 1950 Scott: 58 A11 |
![]() |
Switerland, 5c+5c, 1957 B267 SP205 |
![]() |
Russia, 40k, 1957 Scott: 1932 A1028 |
![]() |
German Democratic Republic, 10 pf, 1957 Scott: 353 A11 |
![]() |
German Demoncratic Republic, 20pf, 1983 Scott: 2371 A718 |
![]() |
Switerland, 130c, 2007 Scott: 1257 A599 |
![]() |
Guinea Bissau, 2008 |
![]() |
Guinea Bissau, 2009 |
</td>
| Guinea Bissau, 800 FCFA, 2009 |